2024年成人高考专升本高数二真题及答案

发布时间:2025-07-14 浏览:

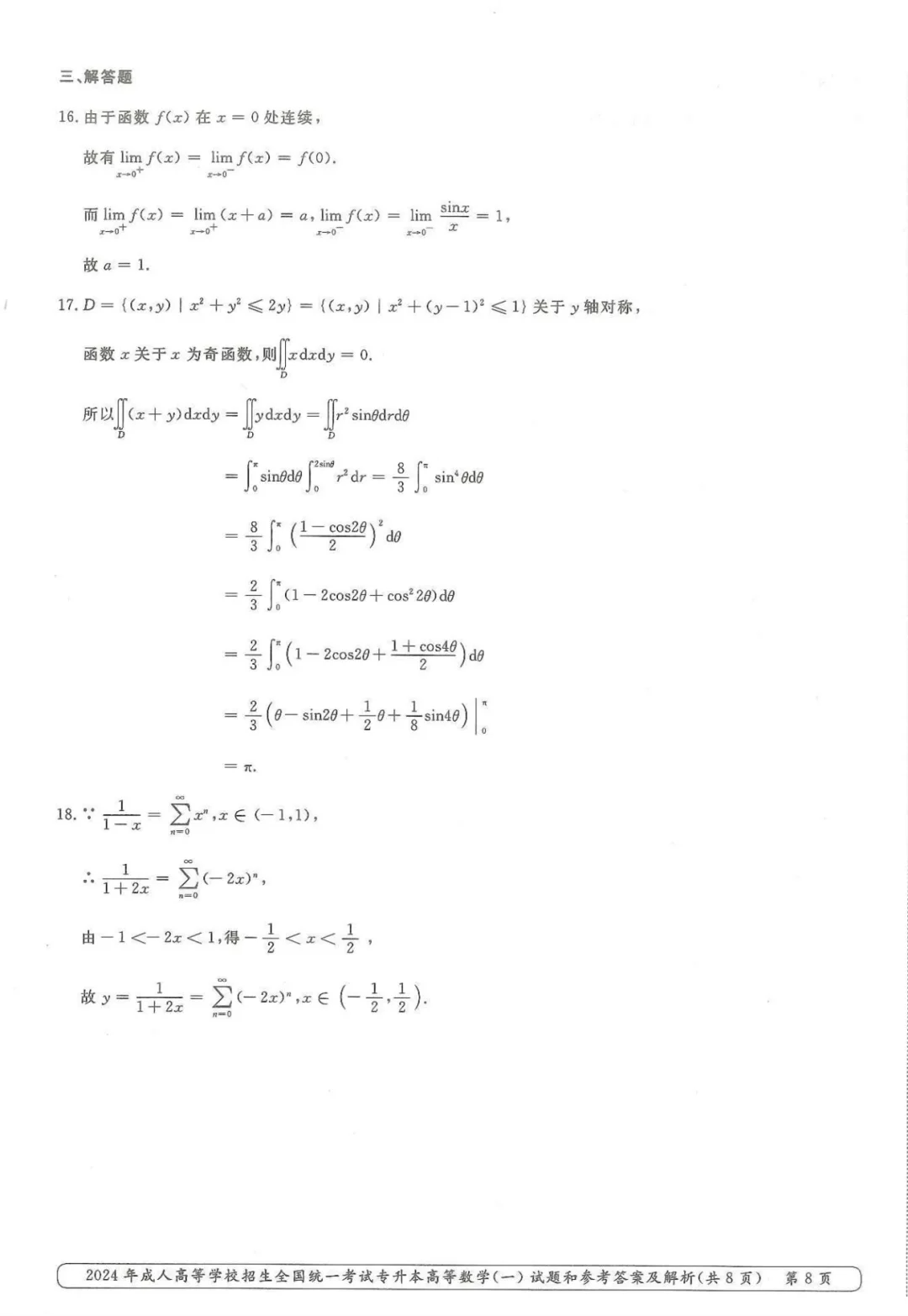
image.png

image.png

image.png

image.png

image.png

image.png


image.png

image.png



免责声明:本站所有信息均来源于互联网搜集,并不代表本站观点,本站不对其真实合法性负责。如有信息侵犯了您的权益,请告知,本站将立刻删除。

相关文章

2025年成人专升本艺术概论模拟题(含答案)

2025 年成人高考专升本艺术概论模拟题一、选择题(本大题共 20 小题,每小题 2 分,共 40 分)1.认为艺术起源...
成考资料2025-09-28
2025年成人专升本艺术概论模拟题(含答案)

2025年成人专升本《民法》 人格权精华考点

第四部分 人格权考点1人格权概述人格权分为一般人格权和具体人格权。其中,具体人格权包括:生命权、健康权、身体权、姓名权、...
成考资料2025-09-26
2025年成人专升本《民法》 人格权精华考点

2025年成人高考专升本英语全真模拟卷(二)

成考资料2025-07-15
2025年成人高考专升本英语全真模拟卷(二)

2025年成人专升本《政治》500道选择题(六)

251、否定之否定规律揭示了事物发展的(方向和道路)。252、事物发展的道路是(前进性与曲折性的统一)。253、实践是指...
成考资料2025-09-26

2025年成人专升本大学语文章节习题-议论文部分(二)

17.被后世称为“亚圣”的是( )A.孔子B.荀子C.孟子D.庄子【答案】C【解析】孟子是儒家学派的代表人物,地位仅次...
成考资料2025-09-26
2025年成人专升本大学语文章节习题-议论文部分(二)

2025年成人专升本-大学语文试题(八)

101.《答司马谏议书》是一篇论文,反驳的着眼点是( )A.前提B.论据C.论点D.论证【答案】C【解析】王安石《答司...
成考资料2025-09-26
2025年成人专升本-大学语文试题(八)

2025专升本《英语》交际用语

日常交际用语1.问候(1)A : Hello/HiB: Hello/Hi(2) A: Hello.How are you...
成考资料2025-08-18
2025专升本《英语》交际用语

2025年成人专升本教育理论模拟练习题

2025 年成人高考专升本教育理论模拟题(含完整答案)教育学部分一、选择题(本大题共 12 小题,每小题 2 分,共 2...
成考资料2025-09-28
2025年成人专升本教育理论模拟练习题

2025年成人专升本《政治》简答题汇总(二)

第二章物质和意识一、辨析题1.世界统一于存在。【答案】错误。(1)这是一个折中主义的命题,它否认了世界统一于物质,实际上...
成考资料2025-09-26
2025年成人专升本《政治》简答题汇总(二)

2025年成人专升本3月份时政模拟题!

2025年2月时政总计120道题,均已更新在专升本必刷题软件中,应用商店搜索【专升本必刷题】,下载点击【题库】,25时政...
成考资料2025-09-24
2025年成人专升本3月份时政模拟题!

2025年成人专升本政治习题-社会主义改革和对外开放(附答案、解析)

第四章社会主义改革和对外开放1.全面提高对外开放水平,要完善开放型经济体系,这一体系的特点是( )B.互联互通、多元平...
成考资料2025-09-26
2025年成人专升本政治习题-社会主义改革和对外开放(附答案、解析)

2025年成人专升本大学语文章节习题-诗词曲赋单元(二)

17.《诗经》中的《蒹葭》篇选自( )A.《周颂》B.《秦风》C.《小雅》D.《陈风》【答案】B【解析】《蒹葭》选自《...
成考资料2025-09-26
2025年成人专升本大学语文章节习题-诗词曲赋单元(二)

分类栏目